As so often happens in science, when Andrea Stöllner's experiments didn't work as expected, they led her to something even more interesting – a way to study what might be the initial spark of lightning, using lasers and a single microscopic particle.
Stöllner, a physics researcher from the Institute of Science and Technology Austria, headed a study with an international team of researchers into a known but little-understood ability for light-based 'tweezers' to charge particles in their grasp, giving researchers a new way to investigate one of nature's most majestic phenomena.
How lightning starts is one of the biggest mysteries in atmospheric science. There are several theories, which all try to explain what kicks off the electrical cascade inside clouds that culminates in a lightning bolt.
Nearly 9 million lightning bolts illuminate Earth every day, zigzagging through clouds for hundreds of miles in the most extreme cases.
Related: World's Longest Lightning Strike Crossed 515 Miles From Texas to Kansas
And yet, considering how much we know about the physics of distant objects in the far corners of the Universe, it's surprising we don't know what triggers lightning inside clouds just a few kilometers above our heads.
Scientists have sent up weather balloons to measure conditions inside thunderclouds, flown aircraft through storms, and used high-speed cameras and sensors to capture lightning strikes – and the photonuclear reactions they trigger.
But precisely how lightning starts remains an open question.
Thunderclouds become highly charged; that much is known. The leading theory is that ice crystals inside clouds become charged when they collide with a type of soft hail called graupel; the opposing charges separate, creating an electric field.

There's just one problem. The electric fields measured inside clouds are relatively weak; nowhere near strong enough to turn air into a conductor through which current can flow.
"This suggests that there is either something wrong with our measurements," Joseph Dwyer and Martin Uman, two lightning scientists, wrote in 2014, "or there is something wrong with our understanding of how electrical discharges occur in the thunderstorm environment."
It might be that there are pockets of higher intensity electric fields inside clouds that scientists haven't found yet, or that ice crystals somehow create the first spark that lightning needs to start, Stöllner told ScienceAlert.
High-energy cosmic rays are another possibility: They may ionise the air, creating a shower of free electrons that claps into a lightning bolt.
"But then again," Stöllner says, "it could also be something completely different or a mixture of all of those things; we don't know."
The theories about how lightning starts have been floating around since the 1950s and 60s, based largely on observations and computer simulations, and rarely tested in lab experiments.
Stöllner didn't set out to study how lightning starts, but that's where her research is headed.
"I think now is a good time to revisit this question because we have the technology to do it," says Stöllner, a PhD student in the labs of physicist Scott Waitukaitis and climate scientist Caroline Muller.
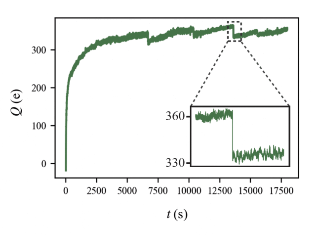
In their recent study, Stöllner and her colleagues used lasers to 'trap' a single, microscopic particle of silica and measure the particle's charge with an increase in the laser's intensity. As the neutral silica particle accumulates charge, it 'shakes' in the alternating electric field across the laser.
The team's measurements suggest the neutral silica particle likely absorbs two photons from the laser, which energises and liberates electrons, leaving the particle positively charged.

But Stöllner also noticed something unexpected: Sometimes, when a particle was trapped for weeks, it suddenly stopped shaking as much – a spontaneous discharge, which, if it were to occur in the atmosphere, might trigger something larger, like a lightning bolt.
"We don't know how it happens, but basically the charge just drops very quickly," Stöllner says. "We're very interested in just finding out what causes that, and that is actually pretty much the same question as lightning initiation, just on this tiny, tiny scale."

The lightning link is highly speculative at this point, so Stöllner is still studying the discharges and testing whether particle size, humidity, or pressure has any effect.
"In one way, it's a limitation of our study because everything is super tiny and super small, and 10 electrons doesn't make lightning," Stöllner says. "But on the other hand, it's a very high-resolution way to probe this charging and discharging of a single particle."
Dan Daniel, a physicist at Okinawa Institute of Science and Technology in Japan, who was not involved in the study, told ScienceAlert that the ability to trap a single submicron particle, charge it controllably, and measure its charge "with exquisite resolution" is "genuinely impressive".
"This is exactly the level of precision needed to eventually probe the charging of water droplets or ice particles – an essential step toward a truly microscopic understanding of lightning, cloud electrification, and atmospheric electricity," Daniel explained.

The method is more realistic in some ways because it doesn't use metal electrodes to measure charge. Instead, the particles hover in the air like aerosols in the atmosphere.
It also uses weaker electric fields than previous lab experiments, Stöllner says.
However, ice crystals in clouds, not aerosols, are thought to be the main players in lightning initiation, and they are complex and strange in their own ways.
Daniel also points out that the sunlight that hits Earth's atmosphere is much weaker than the lasers used in these experiments. There is some evidence, however, that dust particles and aerosols can become charged under UV rays – likely via a single-photon rather than multiphoton process, Daniel says.
Dust on the Moon, which gets bombarded with UV light and solar winds, also becomes charged and levitates, clogging up lunar rovers and instruments.
So the experimental framework is relevant "not just for lighting and cloud electrification," Daniel says, "but also to problems in planetary science and space exploration."
The study has been published in Physical Review Letters.
Research for this article was partly supported through a journalism residency funded by the Institute of Science & Technology Austria (ISTA). ISTA had no input into the story.
